本考试大纲依据《国务院关于深化考试招生制度改革的实施意见》(国发[2014]35号)、广西壮族自治区人民政府《关于印发广西深化考试招生制度改革实施方案的通知》(桂政发〔2016〕11号)、《关于做好我区2021年高等职业院校单独考试招生和高等职业院校对口中等职业学校毕业生自主招生试点工作的通知》(桂招考委办〔2021〕1号)等文件精神制定。
一、测试性质
本考试大纲适用于2021年广西30所公办高职高专联盟学校单独招生的联合测试。
二、测试对象
报考2021年广西公办高职高专单独(对口)招生联合测试联盟学校的普通高中毕业生。
三、测试目标
依据联盟学校的人才选拔要求和专业课程标准,科学设计命题内容,增强基础性、综合性,实行“职业适应性测试”评价方式,着重考查学生职业适应性能力,全面、准确地反映考生的学习能力和水平,为联盟学校专业招生择优录取提供依据,促进公平竞争、科学选才。
四、测试形式
1.本次测试采用无纸化网络测试方式进行,时长为40分钟。
2.参加联合测试的考生为“单独招生”类型。
五、测试内容和试卷结构
(一)测试内容
仅测试职业适应性测试,总分300分。
(二)测试试卷结构和内容
1.试卷结构
职业适应性测试目的是考察考生的职业潜能,包括学习能力、语言表达能力、分析推理能力。
总分300分。其中:
(1)学习能力:10道题,每题10分,满分100分;
(2)语言表达能力:10道题,每题10分,满分100分;
(3)分析推理能力:10道题,每题10分,满分100分。
以上三部分均采用单项选择题,四个选项均有赋分。
2.测试内容
职业适应性测试内容包括学习能力、语言表达能力、推理分析能力。
(1)学习能力测试的主要内容:
①注意力。包括:注意力的稳定性、持续性、广度、分配转移、集中性五个指标的测试。
②记忆力。包括:选择记忆、联想记忆、视觉再生、视觉再认、视听综合等记忆力指标的测试。
③思维力。包括:抽象思维能力、空间思维能力、逻辑思维能力等指标的测试。
④观察力。包括:目的性、条理性、理解性、敏锐性、准确性等方面的测试。
(2)语言表达能力测试的主要内容:
语言表达能力测试,是以语文为工具,测试考生对自然科学、人文与社会科学等基础知识的理解与表达能力。
语言表达能力的测试包括:运用语言的能力,即运用字、词、句、段进行口头和书面语言表达能力的测试。
①了解相关学科的常用术语和表达形式,以及新成果和新术语。
②理解相关学科的基本概念、一般原理和普遍规律,能理解所给文本中重要的词语,解释文本中重要的句子,进行文章、段落的概括与归纳。
③应用科学知识去正确地解释和说明有关现象和问题,对已学知识具有综合、重组和转换的能力,且具有敏锐地接受新知识的能力。
(3)分析推理能力测试的主要内容:
分析推理能力主要测试考生对各种事物关系的分析推理能力,涉及对图形、词语概念、数量关系、事物关系和文字材料的理解、比较、组合、演绎和归纳等。包括:归纳推理能力、演绎推理能力、类比推理能力等。
3.试卷呈现
联合测试采用无纸化网络方式进行,全部为标准化试题,考生通过在手机上安装app答题。具体详见附件:2021年广西公办高职高专单独(对口)招生联合测试单独招生职业适应性试题(样题)。
六. 试题编制要求
按照考试的要求和范围编制试题,试题编制应做到科学、合理;题意明确、文字通顺、表述准确严密;标点符号无误、图表绘制规范;不出现政治性、科学性错误;避免学术上有争议的问题。题目的答案应准确、规范。
命题小组组长按测试的要求和范围审定试题及组配试卷。每份试卷要覆盖测试的范围。组配的试卷要使不同能力层次试题的分数和不同难易程度试题的比例适当。
本次测试由系统自动组配出试题。
广西公办高职高专院校招生联盟
2021年高职单招和高职对口中职自主招生
联合测试工作领导小组
2021年2月27日
附件:
广西公办高职高专院校招生联盟2021年单独/对口招生联合测试
单独招生职业适应性测试试题(样题)
说明:
1.本测试包括学习能力、语言表达能力、分析推理能力三部分内容。
2.本测试全部采用标准化试题,每题中都有4个备选答案,请你选出一个自认为是最佳的答案在答题界面指定的答题位置答题,多选、不选或错选均不得分。
3.本测试共30题,每题10分。满分为300分。
4.本测试考试时间40分钟。
一、学习能力(本大题共10题,每题满分10分,共100分)
1.友谊的深浅,由下列哪一个成语可以看出情义最为深重?( )
A.莫逆之交 B.金兰之交
C.刎颈之交 D.点头之交
2.当你计划到一个陌生的城市旅游,你需要提前了解以下哪些基本信息?
A.住宿、教育、气候 B.吃住、交通、景点
C.工业、名人、经济 D.住宿、人口、农业
3.我们都听说过“乌鸦喝水”的故事,瓶子的水少,乌鸦就用旁边随处可见的石子放在瓶子里,最后使自己喝到了水。这说明人们在利用有限的资源取得成功的时候,最重要的要善于
A.依靠外界力量 B.提高工作效率
C.做好思想准备 D.运用方法和工具
4.本题后面列的哪一项应接在“X 0 0 0 0 X X 0 0 0 X X X”的后面。( )
A.X 0 X 0; B.0 0 X; C.0 X X; D.0 0
5.当学习和娱乐发生冲突时,你的选择是
A.马上决定去学习 B.先娱乐然后再学习
C.尽情娱乐忘了学习 D.不情愿地勉强学习
6.下面四种叙述能称为算法的是( )。
A.在家里一般是妈妈做饭
B.做米饭需要刷锅、淘米、添水、加热这些步骤
C.在野外做饭叫野炊
D.做饭必须要有米
7.进入互联网时代,发电子邮件是不可少的,一般而言,发电子邮件包括以下几个步骤:a.打开电子信箱;b.输入发送地址;c.输入主题;d.输入信件内容;e.点击“写邮件”;f.点击“发送邮件”。正确的步骤是( )。
A.a→b→c→d→e→f
B.a→c→d→f→e→b
C.a→e→b→c→d→f
D.b→a→c→d→f→e
8.人讲举一反三、触类旁通,意思是掌握某种知识后,能把这些知识应用于相似的或有联系的工作岗位及工作任务中去,实现学习的迁移。当然,迁移有正迁移和负迁移之分,下面哪些现象不属于正迁移?( )
A.学习钢琴的人再来学习电子琴
B.学习汉语拼音的人再去学习英语
C.学习数学的人再去学习经济学
D.学习英语的人再来学习法语
9.如果两个正整数之积为偶数,则这两个数( )
A.都是偶数
B.一个是奇数,一个是偶数
C.至少一个是偶数
D.恰有一个是偶数
10.对实数a,b定义运算“⊗”为a⊗b=ab.则下列命题中正确命题的个数是()。
① a⊗b=b⊗a;
② (a⊗b)⊗c=a⊗(b⊗c);
③ a⊗(b+c)=(a⊗b)+(a⊗c),
A.0B.1C.2D.3
二、语言表达能力(本大题共10题,每题满分10分,共100分)
1.在今天的商业世界中,供过于求是普遍现象。为了说服顾客购买自己的产品,大规模竞争就在同类商品的生产企业之间展开了,他们得经常设法向消费者提醒自己产品的名字和优等的质量,这就需要靠广告。
对这段文字概括最恰当的是
A.广告是商业世界的必然产物
B.各商家之间用广告开展竞争
C.广告就是要说服顾客买东西
D.广告是经济活动中供过于求的产物
2.我国有“礼仪之邦”、“协和万邦”、“德莫大于和”的文化传统,历史上有联欧亚,开辟丝绸之路;郑和下西洋;历万难,玄奘印度取经;为传经,鉴真东渡扶桑等友好交往的典型事例。这些都反映了中华民族的( )。
A.勤劳勇敢精神 B.热爱和平精神
C.团结统一精神 D.自强不息精神
3.牛的可贵之处,即在活着的时候,就不知疲倦地供人役使,死后则把全身献给社会。牛对于社会真是“鞠躬尽瘁,死而后已”。这段话支持了这样一种观点。( )
A.牛是不知疲倦的动物
B.牛是农民的宝贝
C.牛是社会的财富
D. 牛是奉献精神的象征
4.您是来参加今天会议的吗?您来早了一点儿,现在才八点半。您先进来坐吧。
会议最可能几点开始?( )
A.9点半B.8点半 C.9点D.10点
5.某商场一年中各月份的收入、支出情况的统计如图所示,下列说法中错误的是()。
A.
至
月份的收入的变化率与
至
月份的收入的变化率相同
B.支出最高值与支出最低值的比是

C.利润最高的月份是
月份
D.第三季度平均收入为
万元
6.……
7.……
8.……
9.……
10.……
三、分析推理能力(本大题共10题,每题满分10分,共100分)
1.给出一对相关的词“书籍:知识”。从以下备选答案中找出一对与之在逻辑关系上较为贴近的词( )。
A.运动:健康B.战争:和平
C.公平:合理D.青春:美丽
2.商场有一个活动,先旋转转盘指针。如果指针停在奇数的位置,玩家就可以从袋子抽出一个弹珠。转盘和袋子里的弹珠如下图所示,如果抽到黑色的弹珠就能得到奖品,小明试了一次,请问他得到奖品的可能性为何?

A.不可能 B. 不太可能
C.非常可能 D.—定可以
3.有五个学生:甲、乙、丙、丁、戊,他们的学习成绩的关系为:丙没有丁好,甲没有乙好,戊好于丁,而乙不如丙好。请问五位学生成绩从高到底排序是()。
A.甲乙丙丁戊
B.乙戊丁丙甲
C.丁丙乙甲戊
D.戊丁丙乙甲
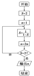
4.阅读如图所示的程序框图,运行相应的程序,输出的结果是()。
A.2 B.4 C.8 D.16
5.如果生物要生存,就需要进行呼吸运动;乳酸菌是一种生物,可以在无氧条
件下生存。根据以上描述,可以推断()。
A.有的生物在无氧条件下可以进行呼吸运动
B.乳酸菌是一种不需要呼吸的生物
C.乳酸菌在无氧条件下不能呼吸
D.能在无氧条件下生存的生物为数不多
6.……
7.……
8.……
9.……
10.……